Introducing Electro Oxidation Module Unit EOU9240 Wastewater Treatment Modular Set
Water treatment modular unit EOU9240 is the core component of electrochemical wastewater treatment equipment such as advanced electro-oxidation electrolyzers and integrated electro-oxidation water treatment equipment, it’s a new approach to realize efficient and innovative electrochemical oxidation remediation of complex industrial effluents.
Electro oxidation modular unit EOU9240 employs electrode assembly with seven pieces of boron doped diamond electrodes and 8 pieces of Titanium electrodes, it offer high electrochemical oxidation treatment efficiency with active electrode area approaching 5300 cm2, and maximum current density up to 100 mA/m2. Unlock the capability of electrochemical wastewater electrolysis with this modular unit. Join us to explore how advanced electrochemical oxidation processes technology provide unmatched removaling efficiency and sustanability, and enhance your treatment processes.
Key Feature and Benefit of Electro Oxidation Wastewater Treatment Module Unit EOU9240
Modular design wastewater treatment unit EOU9240 are scalable, flexible, and ready to roll

Designed to Fit Into Existing System
As an efficient treatment equipment designed for organic pollutants removal for tertiary treatment, but yet with compact design, which requires limited space, our modular unit could fit into operating water treatment system. The way in which streams enters the modular unit is controlled in such a way that making field operation simpler.
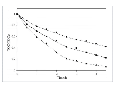
High Electrochemical Oxidation Efficiency

With an active electrode area at 5300 cm2, maximum current density at approx 100 mA/m2, modular unit 9240 can deliver super electrochemical oxidation removal efficiency toward organic polluants.
Simplified Operation & Maintenance

Given the excellent chemical and mechanic stability, anti-fouling nature of boron doped diamond electrode as core part of the electrochemical oxidation, processes, daily operation and routine maintenance made simple, including refrequent anode material changing and adding of extra chemicals.
Key Characteristics of Electro Oxidation Water Treatment Module Unit EOU9240
Electro Oxidation Wastewater Treatment Module EOU9240 Structures
Modular unit EOU9240 is a upgrade version of Unit 732, it’s designed to handle much higher flow rate and effluent input, is designed to fit into electrolytic cell to conduct larger scale wastewater electrolysis, main structures of modular unit 724 are electrode assembly.

Water Treatment Modular Unit EOU9240 Specifications

Anode Material: BDD Electrode with Si Substrates
Dimensions: 240*130*3 mm
Quantity: Nine pieces
Cathode Material: Titanium Electrode
Dimensions: 324*150*1.5 mm
Quantity: Ten pieces
Active Area: Up to 5300 cm2
Working Voltage:≤DC~12V
Rated Current:≤ DC~340 A
Net Weight: 10.2 kg
Contact Us To Evaluate Your Water Profile & Experience Unmatched Electro Oxidation Treatment Efficiency.
Contact Evoaeo
Find Out How Modular Unit EOU9240 Functions As Core Part of Electro Oxidation Wastewater Treatment System
Boron doped diamond electrode was selected to function as anode material within the electrode assembly of modular unit EOU9240, for electrochemical oxidation treatment of wastewater, to degrade recalcitrant organic compounds in industrial effluents.

01
Best anode material
Boron doped diamond electrode got extremely high oxygen evolution potential and the widest electrochemical window among all electrodes.
02
Efficient
Superb organic pollutant removal efficiency, resistant to acid and alkali, less fouling, easy to operate and maintenance.
03
Eco-friendly
No extra toxic chemicals need to be added to the electro oxdiation processes. Hydroxyl radicals mineralize organic compounds.
Explore More About Boron doped diamond Electrode Electrolysis
BDD Electrolysis
Electrochemical Wastewater Treatment Module EOU9240 Effects

Phenols and their derivatives, including phenol itself, primarily originate from petrochemical enterprises.

Herbicides and insecticides, such as chlorsulfuron, come mainly from pesticide manufacturers

Pharmaceutical intermediates, such as 17β-estradiol, are mainly from pharmaceutical and chemical enterprises
Robust Industrial Water Treatment System Designed To Meet Requirements Of Versatile Industries, We Build Optimized Solutions To Help Customers Reach Their Performance & Compliance Goals.

Dyes and pigments, such as methyl orange, come mainly from printing and dyeing factories
Interested in Module EOU9240?
Unleash the full potential of advanced electrochemical oxidation treatment technology in your wastewater treatment endeavors with our dedicated technical support team.
Elevate your experiments with our unmatched customization and stellar service.
Reach out today and let us transform your wastewater treatment needs into bespoke solutions for unparalleled success.
Employing optioneering advanced electrochemical oxidation techniques to pinpoint the most suitable solution.
Enter your information here.